1: ジオろぐ 2025/02/19(水) 00:21:02.67 ID:Q6ZBuRkY0
もし居ないとしたら…
あまりにも孤独すぎる
こんな広大な宇宙に自我を持ってる生物が我々だけだなんて…
あまりにも孤独すぎる
こんな広大な宇宙に自我を持ってる生物が我々だけだなんて…
2: ジオろぐ 2025/02/19(水) 00:21:56.74 ID:A4RoLh2N0
ワイらが宇宙に散り散りになればええやん
4: ジオろぐ 2025/02/19(水) 00:25:19.00 ID:Q6ZBuRkY0
>>2
人間が全宇宙を支配できたらたしかに…
いやそれでも寂しいわ
人間が全宇宙を支配できたらたしかに…
いやそれでも寂しいわ
24: ジオろぐ 2025/02/19(水) 00:38:27.76 ID:ecIFv8wm0
>>2
マクロスみたいな宇宙移民船団があれば面白いのにな
マクロスみたいな宇宙移民船団があれば面白いのにな
3: ジオろぐ 2025/02/19(水) 00:22:21.42 ID:2o5puO5l0
いたとしても交信すら無理だから一緒や
5: ジオろぐ 2025/02/19(水) 00:27:24.72 ID:Q6ZBuRkY0
>>3
存在だけでも確認したい
人間だけじゃないって思いたい
存在だけでも確認したい
人間だけじゃないって思いたい
139: ジオろぐ 2025/02/19(水) 01:07:47.98 ID:mSBGc70Z0
>>3
量子力学使えば交信できるかもしれん
量子力学使えば交信できるかもしれん
6: ジオろぐ 2025/02/19(水) 00:27:33.49 ID:sjsIFC9WM
生物の誕生は難易度低いのにそこから脊椎動物とか知的生命体になるハードルの高さが急に数値青天井のぶっ壊れ確率だしな
11: ジオろぐ 2025/02/19(水) 00:31:02.05 ID:Q6ZBuRkY0
>>6
人間って奇跡なんやな
人間って奇跡なんやな
7: ジオろぐ 2025/02/19(水) 00:28:10.72 ID:cfYP3z7L0
人間レベルは知的生命体とは言えないよ
8: ジオろぐ 2025/02/19(水) 00:29:05.40 ID:QQpSSEAd0
恒星がちょっと近づいたり離れたりするだけで生物にとっての環境めちゃくちゃ変わるからな
9: ジオろぐ 2025/02/19(水) 00:30:21.55 ID:iqcBTf0R0
他に生命が生まれてる確立は宇宙全体見てもないってのが今の研究なんやろ
15: ジオろぐ 2025/02/19(水) 00:33:28.55 ID:DkuwThP80
>>9
単細胞生物みたいなんは割とその辺にいるはずただ地球が特殊なのはガチ隕石で1回恐竜滅びるってステップを踏んでから今の生命に変わってるから同じような歴史辿る星はまずないから厳しい
単細胞生物みたいなんは割とその辺にいるはずただ地球が特殊なのはガチ隕石で1回恐竜滅びるってステップを踏んでから今の生命に変わってるから同じような歴史辿る星はまずないから厳しい
27: ジオろぐ 2025/02/19(水) 00:38:56.48 ID:ybFI53+zM
>>15
それがいないんよ
それがいないんよ
16: ジオろぐ 2025/02/19(水) 00:33:42.16 ID:Q6ZBuRkY0
>>9
え?流石に生命がいる星はあるやろ
え?流石に生命がいる星はあるやろ
294: ジオろぐ 2025/02/19(水) 04:06:03.52 ID:8LvLZLhR0
>>9
微生物みたいなの見つかってたよ
微生物みたいなの見つかってたよ
10: ジオろぐ 2025/02/19(水) 00:30:22.00 ID:Cx+w5smq0
石炭や石油を発見する確率もかなり低いってなんかの本で読んだな
12: ジオろぐ 2025/02/19(水) 00:31:48.87 ID:mTHtD6+Wa
宇宙全体の歴史でいえば人類生きてるのなんてほんの一瞬やしな
仮に何億分の1とかの可能性で同じような天体あったとしても
時間まで交差するのは更にその何億分の1の可能性まで下がるから無理
仮に何億分の1とかの可能性で同じような天体あったとしても
時間まで交差するのは更にその何億分の1の可能性まで下がるから無理
18: ジオろぐ 2025/02/19(水) 00:34:49.42 ID:Q6ZBuRkY0
>>12
人間よりもっと高度な文明なら時間を克服してるかも
人間よりもっと高度な文明なら時間を克服してるかも
17: ジオろぐ 2025/02/19(水) 00:34:39.69 ID:NQJr+ZVQ0
NHKで見たけど地球レベルの生命体って無理やろと思った
生命活動に欠かせないミトコンドリアですが、実は最初から細胞の中にあった訳ではありません。 約20億年前、我々ヒトを含む全ての真核生物の祖先が、酸素を用いてエネルギーを作る細菌を外部から取り込み、その細菌がミトコンドリアとなったのです。 その名残として、ミトコンドリアには細菌由来のDNAが存在します。
生命活動に欠かせないミトコンドリアですが、実は最初から細胞の中にあった訳ではありません。 約20億年前、我々ヒトを含む全ての真核生物の祖先が、酸素を用いてエネルギーを作る細菌を外部から取り込み、その細菌がミトコンドリアとなったのです。 その名残として、ミトコンドリアには細菌由来のDNAが存在します。
22: ジオろぐ 2025/02/19(水) 00:36:40.58 ID:DkuwThP80
>>17
宗教が科学を否定して人間特別ってやってるけど実は科学が1番人間特別ってできる学問なんだよなRNAワールド仮説とかもおすすめ
宗教が科学を否定して人間特別ってやってるけど実は科学が1番人間特別ってできる学問なんだよなRNAワールド仮説とかもおすすめ
25: ジオろぐ 2025/02/19(水) 00:38:38.36 ID:Q6ZBuRkY0
>>17
ミトコンドリアって植物だけかと思ってたわ
ミトコンドリアって植物だけかと思ってたわ
19: ジオろぐ 2025/02/19(水) 00:35:00.35 ID:AP+XgZxd0
宇宙には少なくとも銀河が2兆個あると言われてるのに地球がオンリーワンだと思う方がおかしい
同時発生してる知的生命体なんていくつあってもおかしく無いしその中には星間文明だってあるのかもしれない
同時発生してる知的生命体なんていくつあってもおかしく無いしその中には星間文明だってあるのかもしれない
28: ジオろぐ 2025/02/19(水) 00:39:34.71 ID:Q6ZBuRkY0
>>19
だよなンゴ
やっぱり色んなところで文明が起こってお互い会いたがってるはずよな
だよなンゴ
やっぱり色んなところで文明が起こってお互い会いたがってるはずよな
32: ジオろぐ 2025/02/19(水) 00:42:49.83 ID:iqcBTf0R0
>>19
その宇宙の数より知的生命が生まれる可能性少ないんやないかってことらしいで
その宇宙の数より知的生命が生まれる可能性少ないんやないかってことらしいで
20: ジオろぐ 2025/02/19(水) 00:35:33.59 ID:Cb+sFa3t0
50mプールに時計の部品入れてかき混ぜたら組み上がる確率の話は有名だけど
それがあり得るのが宇宙だもんな
ここにいるゾウリムシには水滴の外を想像することも難しい
それがあり得るのが宇宙だもんな
ここにいるゾウリムシには水滴の外を想像することも難しい
34: ジオろぐ 2025/02/19(水) 00:42:52.55 ID:ropWGl0l0
47: ジオろぐ 2025/02/19(水) 00:44:25.79 ID:UShokHzL0
>>34
これ証拠あんの?
望遠鏡で覗いただけやろ?
これ証拠あんの?
望遠鏡で覗いただけやろ?
61: ジオろぐ 2025/02/19(水) 00:46:56.50 ID:Q6ZBuRkY0
>>34
これ見たら絶対人間みたいなのいっぱいおるよな
安心したわ
これ見たら絶対人間みたいなのいっぱいおるよな
安心したわ
35: ジオろぐ 2025/02/19(水) 00:43:10.59 ID:BJlRc5x90
36: ジオろぐ 2025/02/19(水) 00:43:12.60 ID:UShokHzL0
こんな銀河の端っこに宇宙人が来るわけないよな
37: ジオろぐ 2025/02/19(水) 00:43:19.50 ID:WnPNGtdJ0
居ても存在する時代が違えば場所がどんなに近くても会えない。太陽の膨張とかの関係であと2億5千万年しか人間は地球に存在できないから、この2億5千万年間と宇宙人が存在する期間がかぶっていて且つ存在する距離がそこまで遠くなければ会える可能性はゼロじゃない。
66: ジオろぐ 2025/02/19(水) 00:47:51.69 ID:Q6ZBuRkY0
>>37
地球脱出したらまだまだチャンスはあるな
地球脱出したらまだまだチャンスはあるな
38: ジオろぐ 2025/02/19(水) 00:43:20.05 ID:1MMHQTkg0
人間では絶対に理解できない高度な文明があるよりも
この広い宇宙に人間しかいない方が孤独で虚しくなる
こんだけ広いのに生命の頂点が俺らであっていいわけない
この広い宇宙に人間しかいない方が孤独で虚しくなる
こんだけ広いのに生命の頂点が俺らであっていいわけない
39: ジオろぐ 2025/02/19(水) 00:43:20.08 ID:RrVzFQaB0
いたらタイムマシンやワープを発明して地球に接触してくるはずだし未だにないってことは人間以上の知的生命体はいないってことだろ
40: ジオろぐ 2025/02/19(水) 00:43:20.14 ID:sV3gbmr80
宇宙はめちゃくちゃ広いがそれ以上に宇宙はめちゃくちゃ昔から存在してる
地球に生命が誕生したのは宇宙全体から見ればほんのわずかな時間でしか無い
人類と「同時に」この宇宙のどこかで生命体が発生している可能性はほぼゼロ
地球に生命が誕生したのは宇宙全体から見ればほんのわずかな時間でしか無い
人類と「同時に」この宇宙のどこかで生命体が発生している可能性はほぼゼロ
41: ジオろぐ 2025/02/19(水) 00:43:23.06 ID:+lm1Ge3L0
もうこの先はAIに任せるしかない
人間の頭じゃ発達が遅くて考えが追いつかない
宇宙やブラックホールの謎を特には神レベルの頭の良さをもつAIの登場しかない
人間の頭じゃ発達が遅くて考えが追いつかない
宇宙やブラックホールの謎を特には神レベルの頭の良さをもつAIの登場しかない
43: ジオろぐ 2025/02/19(水) 00:43:52.80 ID:/6tWkHn80
時間は存在しないってアインシュタインが言ってたな
人間が時間だと思ってるものは時間ではなく物事の変化を見てるだけなんだとさ
人間が時間だと思ってるものは時間ではなく物事の変化を見てるだけなんだとさ
48: ジオろぐ 2025/02/19(水) 00:44:41.29 ID:Cb+sFa3t0
>>43
1mmも理解してないのになんだとさって言われてもな
1mmも理解してないのになんだとさって言われてもな
58: ジオろぐ 2025/02/19(水) 00:46:44.00 ID:ecIFv8wm0
>>43
動植物や人間に誕生や寿命があるせいで時間の概念を作りたがるがたぶん時の流れなんてないんだろうな
動植物や人間に誕生や寿命があるせいで時間の概念を作りたがるがたぶん時の流れなんてないんだろうな
44: ジオろぐ 2025/02/19(水) 00:44:09.81 ID:YNLE/hqG0
45: ジオろぐ 2025/02/19(水) 00:44:18.24 ID:tDYF1AcFM
柴犬だけが暮らす惑星もあるんかな😳
46: ジオろぐ 2025/02/19(水) 00:44:23.16 ID:iy/kn/g70
人間のように高度な文明を持つようになると必ず電波を使うようになるけど、その電波が地球に飛んできたことがなくて観測できないから地球外生命体はいないって言われてるな
69: ジオろぐ 2025/02/19(水) 00:48:03.02 ID:4wGHYqqY0
>>46
そもそもなんで人間と同じ時間感覚や手段という前提なんや
テレパシーやら四次元からの干渉やら人類としては未知の手段だったり、信号の送信間隔が50年でひとこと分とかだったりするかもしれんやん
そもそもなんで人間と同じ時間感覚や手段という前提なんや
テレパシーやら四次元からの干渉やら人類としては未知の手段だったり、信号の送信間隔が50年でひとこと分とかだったりするかもしれんやん
49: ジオろぐ 2025/02/19(水) 00:44:44.95 ID:RpgST6B50
76: ジオろぐ 2025/02/19(水) 00:49:08.64 ID:Q6ZBuRkY0
>>49
なんじゃこれw
なんじゃこれw
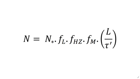
50: ジオろぐ 2025/02/19(水) 00:44:52.95 ID:RpgST6B50
N:今この瞬間に通信が可能な文明が存在する恒星系の数
N*:天の川銀河内の恒星の総数(2500億個)
fL:文明が育まれるのに十分な年齢である恒星の割合(0.015)
fHZ:恒星系のハビタブルゾーンに惑星が存在する割合(0.19)
fM:文明が育まれるのに十分な金属が含まれる割合(0.5)
L:通信可能な文明の平均存続期間(100年)
τ':生命の平均存続期間(10億年)
この計算式を解くと、Nは約36と算出されます
文明を持つ惑星が36個、天の川銀河内に存在していた場合、各惑星間の平均距離はなんと約17000光年にもなってしまう
N*:天の川銀河内の恒星の総数(2500億個)
fL:文明が育まれるのに十分な年齢である恒星の割合(0.015)
fHZ:恒星系のハビタブルゾーンに惑星が存在する割合(0.19)
fM:文明が育まれるのに十分な金属が含まれる割合(0.5)
L:通信可能な文明の平均存続期間(100年)
τ':生命の平均存続期間(10億年)
この計算式を解くと、Nは約36と算出されます
文明を持つ惑星が36個、天の川銀河内に存在していた場合、各惑星間の平均距離はなんと約17000光年にもなってしまう
51: ジオろぐ 2025/02/19(水) 00:45:14.25 ID:lARbBD0i0
光の速度
時速10億7900万km
これが宇宙では遅すぎてゴミなの笑う
時速10億7900万km
これが宇宙では遅すぎてゴミなの笑う
52: ジオろぐ 2025/02/19(水) 00:45:33.59 ID:hGHWyeDQ0
重力「めちゃくちゃ弱い力です」「でもめちゃくちゃ遠くまで届きます」
55: ジオろぐ 2025/02/19(水) 00:45:48.83 ID:ZGJCZrjH0
155: ジオろぐ 2025/02/19(水) 01:11:54.18 ID:MrkXUTPb0
>>55
この考え方は物理で習った時にストンと腑に落ちるんやけど
よくよく考えてみると2次元に対してボールは3次元方向に重量を受けてるんやから
それの次元増えたとしたら四次元の空間内にも同様にこの3次元の世界の重力より高次な重力的なものがあると考えてええんか?
この考え方は物理で習った時にストンと腑に落ちるんやけど
よくよく考えてみると2次元に対してボールは3次元方向に重量を受けてるんやから
それの次元増えたとしたら四次元の空間内にも同様にこの3次元の世界の重力より高次な重力的なものがあると考えてええんか?
163: ジオろぐ 2025/02/19(水) 01:17:22.56 ID:obbpM4VVM
>>155
それが今やってる超弦理論M理論の宇宙は11次元ってやつじゃなかったっけより高次元のものが発生させてる現象のひとつが時空とか重力って話だったはず
それが今やってる超弦理論M理論の宇宙は11次元ってやつじゃなかったっけより高次元のものが発生させてる現象のひとつが時空とか重力って話だったはず
56: ジオろぐ 2025/02/19(水) 00:46:10.29 ID:ZGJCZrjH0
そもそも、宇宙がなんなのか理解しないと人間がなんなのか理解できないし
57: ジオろぐ 2025/02/19(水) 00:46:36.90 ID:r3PT2sy80
明らかに人間のためにある宇宙じゃないよな
場違いなほど巨大すぎる
場違いなほど巨大すぎる
59: ジオろぐ 2025/02/19(水) 00:46:52.83 ID:Yiuj2rWG0
この世には物質と空間しかないのに
我々人間が持つ「意識」とはなんなのか「魂」の正体とは
我々人間が持つ「意識」とはなんなのか「魂」の正体とは
60: ジオろぐ 2025/02/19(水) 00:46:53.86 ID:cM9zrCzy0
人類も1万年以内に絶滅するからな…
2億年居た恐竜の方が長く生きたで
2億年居た恐竜の方が長く生きたで
73: ジオろぐ 2025/02/19(水) 00:48:36.65 ID:9t4yn8sGM
>>60
盛者必衰とはよく言ったもんだな
盛者必衰とはよく言ったもんだな
63: ジオろぐ 2025/02/19(水) 00:47:13.99 ID:3QJDLzhm0
物質が光速を超えて移動することは不可能ってアインシュタインが特殊相対性理論の中で言ってるけど
この世には光速を超えるものが3つある
・宇宙の膨張速度
宇宙は星という物体が広がってるだけでなく空間自体が広がってる
宇宙の端の方ではこの空間の広がりが光速(秒速30万
km)を超える
・宇宙のインフレーション
・量子のもつれ
これはアインシュタインでも間違えたほど難しいのでYouTubeで映像を見た方が早い
この世には光速を超えるものが3つある
・宇宙の膨張速度
宇宙は星という物体が広がってるだけでなく空間自体が広がってる
宇宙の端の方ではこの空間の広がりが光速(秒速30万
km)を超える
・宇宙のインフレーション
・量子のもつれ
これはアインシュタインでも間違えたほど難しいのでYouTubeで映像を見た方が早い
71: ジオろぐ 2025/02/19(水) 00:48:12.67 ID:FxBO0+nj0
宇宙はクソ広いからどっかいるやろより
その広さをもってしても生き物が生まれる確率のほうがはるかに少ないかもって話聞いたわ今は
その広さをもってしても生き物が生まれる確率のほうがはるかに少ないかもって話聞いたわ今は
85: ジオろぐ 2025/02/19(水) 00:52:25.07 ID:Q6ZBuRkY0
>>71
嘘やろ…
孤独すぎる…
嘘やろ…
孤独すぎる…
72: ジオろぐ 2025/02/19(水) 00:48:31.18 ID:gX3DnVuq0
74: ジオろぐ 2025/02/19(水) 00:48:51.73 ID:dJUuDiLr0
88: ジオろぐ 2025/02/19(水) 00:53:18.60 ID:Q6ZBuRkY0
>>74
グロテスクやな…
シロッコはこんな星のどこが良いんや…
グロテスクやな…
シロッコはこんな星のどこが良いんや…
99: ジオろぐ 2025/02/19(水) 00:56:07.07 ID:UjzpyFsx0
>>88
ヘリウム3がとれるところやろなあ
ヘリウム3がとれるところやろなあ
77: ジオろぐ 2025/02/19(水) 00:49:11.98 ID:q5enc6Rv0
宇宙物理学の最新研究によるとこの時空は5次元空間に浮かんでる時空の可能性が高い
かつ超知性体の作ったコンピューターシミュレーションの可能性があるらしい
量子力学の量子1つがそのコンピューターの1bitに相当する模様
かつ超知性体の作ったコンピューターシミュレーションの可能性があるらしい
量子力学の量子1つがそのコンピューターの1bitに相当する模様
78: ジオろぐ 2025/02/19(水) 00:49:45.90 ID:ycrLiSfT0
動物を見ていると、高度な知能を持つ生命体ほど感情の種類が増えていく
「喜怒哀楽」の4つしかない人間は宇宙全体だと低知能なのかもしれない
高度な地球外生命体に5番目6番目の感情を見せられても人間はそれがなんだかわからなくてぼーっと見てしまう
まるで犬が人間をじーっと見ているのと同じように何をしているか分からない
「喜怒哀楽」の4つしかない人間は宇宙全体だと低知能なのかもしれない
高度な地球外生命体に5番目6番目の感情を見せられても人間はそれがなんだかわからなくてぼーっと見てしまう
まるで犬が人間をじーっと見ているのと同じように何をしているか分からない
79: ジオろぐ 2025/02/19(水) 00:50:23.08 ID:Gr9JJK3V0
家から一歩出て足の下に落ちてる砂を電子顕微鏡で化石があるかもって何年も調べたらバカだと思われるやろ?
月や火星の砂を調べてるのは宇宙全体からするとそれくらい近所の物体を調べてて馬鹿げてるんや
月や火星の砂を調べてるのは宇宙全体からするとそれくらい近所の物体を調べてて馬鹿げてるんや
80: ジオろぐ 2025/02/19(水) 00:50:50.63 ID:ckIKlcFn0
気温
太陽 6000度
水星 430度
金星 460度
地球 -89.2~56.7度
火星 218度 (140~300度)
木星 -150度
土星 -185度
天王星 -205度
海王星 -220度
冥王星 -229度
太陽 6000度
水星 430度
金星 460度
地球 -89.2~56.7度
火星 218度 (140~300度)
木星 -150度
土星 -185度
天王星 -205度
海王星 -220度
冥王星 -229度
83: ジオろぐ 2025/02/19(水) 00:52:02.06 ID:RrVzFQaB0
たとえ宇宙人がいたとしても地球上の他の生物と意思疎通できなきのに地球外生命体が来たところでコミュニケーションできるとは思えない
84: ジオろぐ 2025/02/19(水) 00:52:06.89 ID:nSqGZ71I0
87: ジオろぐ 2025/02/19(水) 00:53:05.90 ID:iPqwwFvi0
宇宙の外がどうなってるか考えたことあるか?
89: ジオろぐ 2025/02/19(水) 00:53:31.04 ID:NnfTzd000
91: ジオろぐ 2025/02/19(水) 00:54:07.33 ID:Mf3mom1n0
宇宙広すぎて光より速く動く方法がないなら知的生命体いても会えないんやろ
ワープ技術とか1万年後にも見つからんやろ
ワープ技術とか1万年後にも見つからんやろ
92: ジオろぐ 2025/02/19(水) 00:54:19.37 ID:Z7NuDEpA0
95: ジオろぐ 2025/02/19(水) 00:54:58.36 ID:nETZdNogM
今現在会えないってことは宇宙人がとんでもなく進化してるけど何らかの理由で通信しないかできないか宇宙人なんていないっていう絶望的な2択なのは事実なのは間違いないんよな
96: ジオろぐ 2025/02/19(水) 00:55:19.44 ID:yA2yklyG0
おるやろ
宇宙どんだけ広い思っとるねん
宇宙どんだけ広い思っとるねん
98: ジオろぐ 2025/02/19(水) 00:55:46.14 ID:dNl7zkOT0
>>96
おらんよ
おらんよ
97: ジオろぐ 2025/02/19(水) 00:55:31.68 ID:mb1TlOIO0
100: ジオろぐ 2025/02/19(水) 00:56:34.88 ID:A972EAhK0
宇宙オタクは星の数だけで知的生命体が存在する確率を出すけど
DNA、RNAの観点から生命活動が可能な正しい遺伝子配列が生まれる確率を計算式に入れねばならん
すると10の180乗個の恒星系が無いと発生しない計算になる
これは宇宙全体の星の数10の22乗個よりも少ないわけだから絶望的やで
地球そっくりの環境の惑星があったとしてもそこで生命が誕生する可能性は限りなく0に近く
観測可能な宇宙全体を見ても文明どころか基本的な生命すら地球以外には存在していない可能性が高いというわけや
DNA、RNAの観点から生命活動が可能な正しい遺伝子配列が生まれる確率を計算式に入れねばならん
すると10の180乗個の恒星系が無いと発生しない計算になる
これは宇宙全体の星の数10の22乗個よりも少ないわけだから絶望的やで
地球そっくりの環境の惑星があったとしてもそこで生命が誕生する可能性は限りなく0に近く
観測可能な宇宙全体を見ても文明どころか基本的な生命すら地球以外には存在していない可能性が高いというわけや
112: ジオろぐ 2025/02/19(水) 01:00:08.09 ID:AP+XgZxd0
>>100
でも実際地球には知的生命が発生してるじゃん
地球の生命がその天文学的確率を引いて奇跡的に誕生したと考えるよりその推計が間違っていると考えた方がこの矛盾の理由を説明しやすいよね
でも実際地球には知的生命が発生してるじゃん
地球の生命がその天文学的確率を引いて奇跡的に誕生したと考えるよりその推計が間違っていると考えた方がこの矛盾の理由を説明しやすいよね
101: ジオろぐ 2025/02/19(水) 00:56:40.55 ID:NpD8/yJi0
宇宙の広さから考えたら生命体は間違いなく居ると思うけど多分何百光年は普通に離れてるしそもそも
人類レベルまで進化してる可能性は少ないと思うわ
良くて微生物レベルだとやろな
人類レベルまで進化してる可能性は少ないと思うわ
良くて微生物レベルだとやろな
116: ジオろぐ 2025/02/19(水) 01:00:44.35 ID:4wGHYqqY0
>>101
逆に宇宙人から見たらちきう人とか下等すぎてコミュニケーション取る気にもならんのかもしれん
最低限銀河系脱出できるレベルになってから話しかけてこいよ笑、的な
逆に宇宙人から見たらちきう人とか下等すぎてコミュニケーション取る気にもならんのかもしれん
最低限銀河系脱出できるレベルになってから話しかけてこいよ笑、的な
129: ジオろぐ 2025/02/19(水) 01:04:02.95 ID:NpD8/yJi0
>>116
ロマンがあるから好きな説ではあるんやけどな超未来のなんG民が技術の進歩で触れ合えるようになったら宇宙人とレスバしてて欲しいわ
ロマンがあるから好きな説ではあるんやけどな超未来のなんG民が技術の進歩で触れ合えるようになったら宇宙人とレスバしてて欲しいわ
105: ジオろぐ 2025/02/19(水) 00:58:30.91 ID:4wGHYqqY0
そもそも有機物のスープに雷が落ちたらなんかクネクネ動き出したやつがおる、なんてキモい現象そんな安易に起こるんか?
106: ジオろぐ 2025/02/19(水) 00:58:42.81 ID:Mf3mom1n0
宇宙広すぎるのに光速が限界なの終わってるわ
設定考えた奴アホやろ
設定考えた奴アホやろ
111: ジオろぐ 2025/02/19(水) 00:59:49.92 ID:RrVzFQaB0
>>106
光より早い何かを人間が認識していないだけなのだよ
光より早い何かを人間が認識していないだけなのだよ
108: ジオろぐ 2025/02/19(水) 00:59:03.97 ID:obbpM4VVM
地球だけ奇跡の星で確率異常起こしてたって結論でもいいけどなんで地球だけ例外になれたんだろうか
109: ジオろぐ 2025/02/19(水) 00:59:13.43 ID:jCkhpwsO0
宇宙の時間は生命には長すぎるから生命である限り低位の存在やろ
機械の体すら朽ちるのだから物質的である限り宇宙を理解できない
生命をやめて機械をやめて情報そのものになった時宇宙を理解するんや
機械の体すら朽ちるのだから物質的である限り宇宙を理解できない
生命をやめて機械をやめて情報そのものになった時宇宙を理解するんや
110: ジオろぐ 2025/02/19(水) 00:59:31.97 ID:zat3d3n30
数年前までは地球のある銀河のどこかに知的生命体はいる可能性は高いとか言われてたけど
最新の研究だと観測可能な宇宙全体でも人間のような知的生命体が存在する可能性は限りなく0って言われてるからな
人間は孤独な存在や
最新の研究だと観測可能な宇宙全体でも人間のような知的生命体が存在する可能性は限りなく0って言われてるからな
人間は孤独な存在や
113: ジオろぐ 2025/02/19(水) 01:00:10.37 ID:14gX4Lhz0
観測可能な宇宙の範囲だけでも2000億個の銀河が存在する
↓数年後
少なくとも銀河は2兆個は存在する
↓数年後
やっぱ銀河は7兆3750億あるわ
銀河1つに星が3000億個あるわ
草
↓数年後
少なくとも銀河は2兆個は存在する
↓数年後
やっぱ銀河は7兆3750億あるわ
銀河1つに星が3000億個あるわ
草
114: ジオろぐ 2025/02/19(水) 01:00:17.70 ID:FOHB10KM0
確実に人間に似た知的生命体は宇宙の果てだろうとおるやろ
量子もつれはどんなに離れてても同じ結果を出す量子がおる
地球にある量子と対になってる同じ動きをする量子がある以上同じ様な生命体がおる
量子もつれはどんなに離れてても同じ結果を出す量子がおる
地球にある量子と対になってる同じ動きをする量子がある以上同じ様な生命体がおる
117: ジオろぐ 2025/02/19(水) 01:00:47.07 ID:jrHa/f6s0
ワイ「宇宙の外はどうなってるんや」
お前ら「この世界をシミュレーションしてる上位存在の世界が広がってるよ」
ワイ「上位存在の世界の外はどうなってるんや」
お前ら「この世界をシミュレーションしてる上位存在の世界が広がってるよ」
ワイ「上位存在の世界の外はどうなってるんや」
119: ジオろぐ 2025/02/19(水) 01:01:18.75 ID:7FHlnLlq0
医者が人間の神経を見た時、なんやこの神しか作れないような回路は…
人間は神が作ったに違いないって思うらしいしな
人間は神が作ったに違いないって思うらしいしな
123: ジオろぐ 2025/02/19(水) 01:02:01.47 ID:8Uek4AFRr
そもそも知的生命体の在り方が地球の生物と同じ在り方であるって決まりすらないやん
全く別の生まれ方して全く別の性質だけど高度な知能を持つ存在がおるかもしれん
全く別の生まれ方して全く別の性質だけど高度な知能を持つ存在がおるかもしれん
138: ジオろぐ 2025/02/19(水) 01:07:19.24 ID:yA2yklyG0
>>123
ほんまそれや
ワイも全く同じ意見や
地球と似たようなとか同じような条件である必要が全く無い
水も酸素必要なかったり人間とは別のエネルギー源を糧にしてたりそもそも遺伝子やあらゆる事が全く別の生命体が居てる可能性もあるやろ
ほんまそれや
ワイも全く同じ意見や
地球と似たようなとか同じような条件である必要が全く無い
水も酸素必要なかったり人間とは別のエネルギー源を糧にしてたりそもそも遺伝子やあらゆる事が全く別の生命体が居てる可能性もあるやろ
124: ジオろぐ 2025/02/19(水) 01:02:04.92 ID:BL/xq+c10
銀河の距離と後退速度から求められた、「ハッブル定数」として知られる宇宙の膨張率を表す値は、73.2 km/s/Mpcとなった。
これは、1Mpc(メガパーセク:約326万光年)離れるごとに膨張速度が秒速73.2km大きくなるということを表している。
宇宙の膨張率は、ある銀河までの距離とその銀河の後退速度(私たちから遠ざかっていく速度)から知ることができる。


銀河の後退速度は、銀河からの光の波長がどの程度引き伸ばされているかを測定して知ることができる。
銀河の距離と後退速度から求められた、「ハッブル定数」として知られる宇宙の膨張率を表す値は、73.2 km/s/Mpcとなった。
これは、1Mpc(メガパーセク:約326万光年)離れるごとに膨張速度が秒速73.2km大きくなるということを表している。
これは、1Mpc(メガパーセク:約326万光年)離れるごとに膨張速度が秒速73.2km大きくなるということを表している。
宇宙の膨張率は、ある銀河までの距離とその銀河の後退速度(私たちから遠ざかっていく速度)から知ることができる。


銀河の後退速度は、銀河からの光の波長がどの程度引き伸ばされているかを測定して知ることができる。
銀河の距離と後退速度から求められた、「ハッブル定数」として知られる宇宙の膨張率を表す値は、73.2 km/s/Mpcとなった。
これは、1Mpc(メガパーセク:約326万光年)離れるごとに膨張速度が秒速73.2km大きくなるということを表している。
126: ジオろぐ 2025/02/19(水) 01:03:10.02 ID:ffBImdta0
宇宙が大きくなるのってどういう仕組みなんや?
宇宙のエネルギーはどこから来るんや?
宇宙のエネルギーはどこから来るんや?
127: ジオろぐ 2025/02/19(水) 01:03:33.77 ID:pG1kqFFS0
128: ジオろぐ 2025/02/19(水) 01:03:48.27 ID:PBqIQqHy0
恒星間移動ができるほど進歩した文明って想像できない
少なくとも地球人がそれを成し遂げる頃には有機生命体じゃなくて電脳サイボーグになってると思う
少なくとも地球人がそれを成し遂げる頃には有機生命体じゃなくて電脳サイボーグになってると思う
135: ジオろぐ 2025/02/19(水) 01:05:57.51 ID:obbpM4VVM
>>128
なんらかの情報保存技術と命とか身体の制約は取っ払ってないとまず宇宙の長距離移動は無理だからな
なんらかの情報保存技術と命とか身体の制約は取っ払ってないとまず宇宙の長距離移動は無理だからな
145: ジオろぐ 2025/02/19(水) 01:09:28.79 ID:4wGHYqqY0
>>128
正直ワープやら冷凍睡眠やらの実現は無理やろうし、人類の活動圏内って「往復の間正常な精神と肉体が保てる程度の距離」に止まりそう
せいぜい火星くらいまでちゃうかなぁ
正直ワープやら冷凍睡眠やらの実現は無理やろうし、人類の活動圏内って「往復の間正常な精神と肉体が保てる程度の距離」に止まりそう
せいぜい火星くらいまでちゃうかなぁ
130: ジオろぐ 2025/02/19(水) 01:04:24.70 ID:OOddo88f0
ダークマターは「重力は発生してるからそこに何かあるはずなのに見えない観測も出来ない何か」の総称や
空間が歪む=重力があるからそこには絶対に天体みたいな莫大なエネルギーを持つ何かがあるはずなのに今の人間の観測方法では見つれけられない物体や
一番有力なのは「この世界とは別の次元に存在する天体が影響してる」説やな
例えば三次元世界で重力により歪んだ空間は二次元世界でも歪みが発生するように
人間が住む三次元空間より高次元にある天体が三次元空間に重力だけ影響させてる可能性が高い
ダークマター周辺ではこのように空間の歪みが発生してるのにそこにあるはずの天体が存在しない
空間が歪む=重力があるからそこには絶対に天体みたいな莫大なエネルギーを持つ何かがあるはずなのに今の人間の観測方法では見つれけられない物体や
一番有力なのは「この世界とは別の次元に存在する天体が影響してる」説やな
例えば三次元世界で重力により歪んだ空間は二次元世界でも歪みが発生するように
人間が住む三次元空間より高次元にある天体が三次元空間に重力だけ影響させてる可能性が高い
ダークマター周辺ではこのように空間の歪みが発生してるのにそこにあるはずの天体が存在しない
132: ジオろぐ 2025/02/19(水) 01:05:03.36 ID:yBdfuvb40
円運動する中心には必ず引っ張る物があるんやろ?
月には地球
太陽系には太陽
銀河にはブラックホール
じゃー宇宙の中心にも宇宙を束ねてる何かがあるはずだよな?
月には地球
太陽系には太陽
銀河にはブラックホール
じゃー宇宙の中心にも宇宙を束ねてる何かがあるはずだよな?
134: ジオろぐ 2025/02/19(水) 01:05:36.13 ID:y+gHmreY0
136: ジオろぐ 2025/02/19(水) 01:06:05.44 ID:TGHVXDHk0
137: ジオろぐ 2025/02/19(水) 01:06:43.25 ID:fZmGFaZt0
142: ジオろぐ 2025/02/19(水) 01:09:14.12 ID:mZOzf9Se0
理論上最高速の光の速さもいうほど速くない
146: ジオろぐ 2025/02/19(水) 01:09:35.50 ID:+YhL2N1J0
中学生ワイ「はえー物質の最小単位が原子なのね
高校生ワイ「原子には陽子と電子と中性子があって・・・」
大学生ワイ「物質の最小単位はクォーク」
今のワイ「どうせクォークよりもっと小さい単位あるやろ」
高校生ワイ「原子には陽子と電子と中性子があって・・・」
大学生ワイ「物質の最小単位はクォーク」
今のワイ「どうせクォークよりもっと小さい単位あるやろ」
147: ジオろぐ 2025/02/19(水) 01:10:07.35 ID:tXWon2+50
「この世界には4つの力しかない」←これわかるの凄すぎやろ
148: ジオろぐ 2025/02/19(水) 01:10:25.71 ID:PgittTQx0
宇宙「まずは無しかないのでそこから揺らぎを生成します」
宇宙「揺らぎを生成すると0.0000000000000000000000000000000000000000001秒後にはビッグバンが起きて時空を取り出せます」
宇宙「多分これが一番早いと思います」
宇宙「揺らぎを生成すると0.0000000000000000000000000000000000000000001秒後にはビッグバンが起きて時空を取り出せます」
宇宙「多分これが一番早いと思います」
149: ジオろぐ 2025/02/19(水) 01:10:42.74 ID:Kx9fhtCs0
この世界はシュミレーションって言ってる奴らが
「光速で動く物体が時間の流れが遅くなるのは処理落ちしてるから」
って聞いてはえーってなったわ
おもろいこと考えるよな
「光速で動く物体が時間の流れが遅くなるのは処理落ちしてるから」
って聞いてはえーってなったわ
おもろいこと考えるよな
150: ジオろぐ 2025/02/19(水) 01:10:44.18 ID:Z6t69VGM0
恐竜みたいな巨大生物が存在する可能性は?
152: ジオろぐ 2025/02/19(水) 01:11:10.91 ID:RvXiO1eP0
153: ジオろぐ 2025/02/19(水) 01:11:15.85 ID:GIrotz1S0
地球ですら新しい生命の誕生は1回しか確認できていないんやから
相当可能性薄いやろ
相当可能性薄いやろ
156: ジオろぐ 2025/02/19(水) 01:11:58.20 ID:AP+XgZxd0
>>153
同時発生したけど、あるいは現在でも発生してるんだけど、駆逐されてるだけかもしれないじゃん
同時発生したけど、あるいは現在でも発生してるんだけど、駆逐されてるだけかもしれないじゃん
167: ジオろぐ 2025/02/19(水) 01:18:10.13 ID:qZuaqADp0
>>153
そもそも人間の歴史が浅すぎてだからなんやとしか
そもそも人間の歴史が浅すぎてだからなんやとしか
158: ジオろぐ 2025/02/19(水) 01:14:02.90 ID:PDAjf/rJ0
160: ジオろぐ 2025/02/19(水) 01:15:18.12 ID:lPvmi7m8r
>>158
すっごい神秘的
こら生き物いますわ
すっごい神秘的
こら生き物いますわ
298: ジオろぐ 2025/02/19(水) 04:18:44.52 ID:Z7Pl7HE10
>>158
や地神
や地神
159: ジオろぐ 2025/02/19(水) 01:14:56.13 ID:GBoNqZ7A0
161: ジオろぐ 2025/02/19(水) 01:15:42.90 ID:xU2qDHlV0
165: ジオろぐ 2025/02/19(水) 01:17:50.77 ID:NpD8/yJi0
ワイは地球外生命体が発見されるより神に相当する
存在が発見される可能性の方が高いと思うわ
これだけの物が自然に誕生するとか正直信じられないし何かしらの手は加えられてるやろ
存在が発見される可能性の方が高いと思うわ
これだけの物が自然に誕生するとか正直信じられないし何かしらの手は加えられてるやろ
166: ジオろぐ 2025/02/19(水) 01:18:01.63 ID:9FSz6BdO0
人間は三次元に住んでるから四次元をイメージできるけど
四次元に住んでないと五次元を具体的にイメージできない
一つ上までしか想像することができない
四次元に住んでないと五次元を具体的にイメージできない
一つ上までしか想像することができない
169: ジオろぐ 2025/02/19(水) 01:18:40.09 ID:9t5TjcA20
171: ジオろぐ 2025/02/19(水) 01:19:23.89 ID:IQtBYN3Bd
地球人が生命体って理解や認識できる次元に存在するかは分からんけど地球如きにおるんやからおるんちゃうか
172: ジオろぐ 2025/02/19(水) 01:19:31.28 ID:z2QLD8/B0
もし地球に無事に来れる宇宙人がいたら
人間よりはるかに上の知能を持った生命体である事は間違いないから地球は簡単に支配される
戦ったとしても勝ち目はない
人間よりはるかに上の知能を持った生命体である事は間違いないから地球は簡単に支配される
戦ったとしても勝ち目はない
176: ジオろぐ 2025/02/19(水) 01:21:50.38 ID:XnOfKg4I0
>>172
人間よりはるかに上の知能なら別に良くね問題は同じぐらいの野蛮な宇宙人に支配されるシナリオだと思う人間よりはるかに上の知能持ってて同種間の殺し合いで滅びてないならむしろ倫理観高すぎて支配されにいくレベルだと思う
人間よりはるかに上の知能なら別に良くね問題は同じぐらいの野蛮な宇宙人に支配されるシナリオだと思う人間よりはるかに上の知能持ってて同種間の殺し合いで滅びてないならむしろ倫理観高すぎて支配されにいくレベルだと思う
173: ジオろぐ 2025/02/19(水) 01:20:17.96 ID:y2mHdSpv0
学校のプールに腕時計の部品をバラバラに入れて
水流だけで時計が完成する確率
これが宇宙で人間のような知的生命体を発見できる確率
水流だけで時計が完成する確率
これが宇宙で人間のような知的生命体を発見できる確率
177: ジオろぐ 2025/02/19(水) 01:22:10.38 ID:0pdS2ya40
人間の体内時計が火星やったか木星やったかと同期してるとかそういうの好き
181: ジオろぐ 2025/02/19(水) 01:27:44.80 ID:pR9Theo60
アインシュタインが100年前にこの宇宙のどこかにブラックホールというものがあると数式で導き出した物が近年本当に見つかったしな
ブラックホール

観測されたブラックホール
直径 1000億km
質量 太陽の65億倍
周りに纏うガスの温度 60億℃
ブラックホール

観測されたブラックホール
直径 1000億km
質量 太陽の65億倍
周りに纏うガスの温度 60億℃
182: ジオろぐ 2025/02/19(水) 01:28:30.10 ID:cCPDsw7N0
>>181
実際には「観測に成功した」って意味合いやな
ドーナツの穴は周りのドーナツがあって初めて観測できるやろ
そのドーナツ部分が写真にあるオレンジ色に光ってるところや
ドーナツの穴は実際には見えないもんやけど、ドーナツの穴を知覚することは出来るやろ?
実際には「観測に成功した」って意味合いやな
ドーナツの穴は周りのドーナツがあって初めて観測できるやろ
そのドーナツ部分が写真にあるオレンジ色に光ってるところや
ドーナツの穴は実際には見えないもんやけど、ドーナツの穴を知覚することは出来るやろ?
183: ジオろぐ 2025/02/19(水) 01:29:06.27 ID:/mIfYBn70
この世界の真理って割とこれやろ
ワイらが観測できんレベルの原子より小さい世界にも生物が住んどる
ワイらが観測できんレベルの原子より小さい世界にも生物が住んどる
184: ジオろぐ 2025/02/19(水) 01:29:37.15 ID:gxbDLiC90
186: ジオろぐ 2025/02/19(水) 01:30:48.27 ID:NpD8/yJi0
>>184
ロマンあるわ
ロマンあるわ
187: ジオろぐ 2025/02/19(水) 01:31:29.20 ID:jrHa/f6s0
>>184
怖すぎる
怖すぎる
185: ジオろぐ 2025/02/19(水) 01:30:46.79 ID:NuFG0qEO0
地球から遠ざかってる星は光の波長が伸びるから赤く見える
地球に近付いてる星は光の波長が短くなるから青く見える
宇宙の天体を観測すると全ての星が赤いことに気付く
つまり全ての星が地球から遠ざかってる
地球を中心に離れてるのではなく星同士が全て離れて行ってる
↓
時間を巻き戻すと全てが一点に集中する
↓
ビッグバン理論の原点
地球に近付いてる星は光の波長が短くなるから青く見える
宇宙の天体を観測すると全ての星が赤いことに気付く
つまり全ての星が地球から遠ざかってる
地球を中心に離れてるのではなく星同士が全て離れて行ってる
↓
時間を巻き戻すと全てが一点に集中する
↓
ビッグバン理論の原点
188: ジオろぐ 2025/02/19(水) 01:31:43.56 ID:YcymMLor0
189: ジオろぐ 2025/02/19(水) 01:32:50.79 ID:GIrotz1S0
雷で生命体が生まれたとか熱水噴出孔で生命が生まれたとか言うならそれを再現してみるなり新しい系統の生命をみつけたりするのが先なのに
ハビタブルゾーンの星さえ有れば生命が存在する可能性が高いとか科学者がバカ高い予算かけて宇宙探査してるのは自分らの研究費用のためにわざと言ってると思う
ハビタブルゾーンの星さえ有れば生命が存在する可能性が高いとか科学者がバカ高い予算かけて宇宙探査してるのは自分らの研究費用のためにわざと言ってると思う
195: ジオろぐ 2025/02/19(水) 01:35:55.76 ID:ibj+CxoQM
>>189
単純に研究分野が別物だからであって研究費とかはあんま関係ないんじゃねまぁ研究費上乗せ請求はしてるんだろうけど
単純に研究分野が別物だからであって研究費とかはあんま関係ないんじゃねまぁ研究費上乗せ請求はしてるんだろうけど
190: ジオろぐ 2025/02/19(水) 01:33:43.21 ID:85a5VViX0
今空見てきた
この光ってるの全部銀河なんやなぁ...
きっと向こうの奴らも今頃同じ事思ってるんやろな
この光ってるの全部銀河なんやなぁ...
きっと向こうの奴らも今頃同じ事思ってるんやろな
191: ジオろぐ 2025/02/19(水) 01:34:29.74 ID:zx5rIZnw0
宇宙学者が宇宙のヤバさを知れば知るほど逆に神を信じ始めるの好き
194: ジオろぐ 2025/02/19(水) 01:35:25.28 ID:w9b7n8Ag0
思ったよりロマンのあるスレやん
196: ジオろぐ 2025/02/19(水) 01:36:09.50 ID:nY/XHxY/0
【ダークマターが定義されるまでの流れ】
「宇宙の質量を合計100として全ての天体を計算して宇宙完全攻略本出したろ!」
↓
「アカン…何度計算しても合計20にしかならん…なんでや…目に見える物質は全て計算に入れたのに…」
↓
「ファッ!?なんか宇宙の至るところに空間の歪みと重力が発生してるンゴ!空間が歪むってことはそこに大質量の『なにか』があるはずなのに何も観測出来ん存在すら分からん…なんでや…」
↓
「せや!これをダークマターって名前にして「実際には観測出来ないけど確実に存在する何か」として定義づけたろ!」
こういう経緯や
よく勘違いしてる奴いるけどダークマターってのは「未知の物質」でも「空想上の物質」でもない
空間を歪ませて重力も発生してるから確実にそこに存在するのに「観測出来ないなにか」なんや
一番有力なのは三次元空間とは別次元に存在してて人間ではまだ到達出来ない世界にある大質量の物体の重力が影響してる説やな
「物体や物質は次元を越えないが、重力は次元を越えられる」って説が今は濃厚
「宇宙の質量を合計100として全ての天体を計算して宇宙完全攻略本出したろ!」
↓
「アカン…何度計算しても合計20にしかならん…なんでや…目に見える物質は全て計算に入れたのに…」
↓
「ファッ!?なんか宇宙の至るところに空間の歪みと重力が発生してるンゴ!空間が歪むってことはそこに大質量の『なにか』があるはずなのに何も観測出来ん存在すら分からん…なんでや…」
↓
「せや!これをダークマターって名前にして「実際には観測出来ないけど確実に存在する何か」として定義づけたろ!」
こういう経緯や
よく勘違いしてる奴いるけどダークマターってのは「未知の物質」でも「空想上の物質」でもない
空間を歪ませて重力も発生してるから確実にそこに存在するのに「観測出来ないなにか」なんや
一番有力なのは三次元空間とは別次元に存在してて人間ではまだ到達出来ない世界にある大質量の物体の重力が影響してる説やな
「物体や物質は次元を越えないが、重力は次元を越えられる」って説が今は濃厚
198: ジオろぐ 2025/02/19(水) 01:37:47.97 ID:GT5hOVk00
たかが人間程度じゃ恒星系支配が限界やろ
他の銀河からやってくるとか無理無理
他の銀河からやってくるとか無理無理
200: ジオろぐ 2025/02/19(水) 01:38:44.16 ID:A65Nps2j0
天の川銀河の全体像すら想像やからな
全宇宙なら知的生命体なんてなんぼでもおるやろ
全宇宙なら知的生命体なんてなんぼでもおるやろ
217: ジオろぐ 2025/02/19(水) 01:45:15.20 ID:H/NsBhTc0
いるだろうけど同じ年代にはいないやろな
227: ジオろぐ 2025/02/19(水) 01:49:36.84 ID:oDDiFetF0
生命体は種の寿命があるから接触出来ないとしてもやで、地球より技術進んだ星でもしAIが進化しまくったら外宇宙に出てくるやつもおるんちゃうの?
でもそういうのが地球に来てないってことはAIの進化は頭打ちってことなんかね
でもそういうのが地球に来てないってことはAIの進化は頭打ちってことなんかね
231: ジオろぐ 2025/02/19(水) 01:53:21.13 ID:ndWfyaOa0
>>227
純粋にエネルギーが足りんのやない?
純粋にエネルギーが足りんのやない?
236: ジオろぐ 2025/02/19(水) 01:57:55.95 ID:JG4sjFbhM
>>227
寿命とか頭の良さって問題より技術的に厳しいとかじゃないかな星間飛行のエネルギーとか単純に理論がどうこうって問題以前にそもそも不可能な技術な気がする
寿命とか頭の良さって問題より技術的に厳しいとかじゃないかな星間飛行のエネルギーとか単純に理論がどうこうって問題以前にそもそも不可能な技術な気がする
230: ジオろぐ 2025/02/19(水) 01:51:16.39 ID:64eB9c0K0
知的生命体がいたとして
絶対人間みたいな見た目じゃないよな
絶対人間みたいな見た目じゃないよな
233: ジオろぐ 2025/02/19(水) 01:54:07.15 ID:kij44PQbd
まず頭があって腕があって体があって足があってとかじゃないやろね
234: ジオろぐ 2025/02/19(水) 01:56:41.75 ID:jncX6wg10
球体かもしれんし網目状かもしれんしな
音を発する箇所が口になるんやろうけどそもそも発する音を地球人が理解できて聞き取れるのか
音を発する箇所が口になるんやろうけどそもそも発する音を地球人が理解できて聞き取れるのか
235: ジオろぐ 2025/02/19(水) 01:57:18.71 ID:wR+aTk8n0
ビッグバン理論もかなり謎だよな
なんで無から有が生まれんねん
なんで無から有が生まれんねん
237: ジオろぐ 2025/02/19(水) 01:58:12.86 ID:u+yuiSsr0
ワイらはスクリーン映し出された映像でしか無い その主は上の次元の奴らや
せやからワイらが宇宙と思ってる空間には生命体なんかおらんで
せやからワイらが宇宙と思ってる空間には生命体なんかおらんで
238: ジオろぐ 2025/02/19(水) 02:00:14.97 ID:YGuzSA9W0
宇宙ホログラム理論だと地球だけやたら情報量が多くて複雑になっちゃわないか?
他の星はほぼ砂だけなのに
他の星はほぼ砂だけなのに
240: ジオろぐ 2025/02/19(水) 02:02:35.64 ID:GIrotz1S0
他の知的生命体おったらボイジャーのレコードみたいなの漂流させてくれとるやろな
243: ジオろぐ 2025/02/19(水) 02:04:59.61 ID:DTrwpYDx0
もしかしたり人間が知覚できてないだけで
他の星から信号は送られてるのかもしれん
他の星から信号は送られてるのかもしれん
244: ジオろぐ 2025/02/19(水) 02:05:57.51 ID:GIrotz1S0
人類より発達してても自ら自滅するんじゃね?
人類も環境破壊しまくってるやん
人類も環境破壊しまくってるやん
245: ジオろぐ 2025/02/19(水) 02:07:04.43 ID:MBykVjTmd
もしかしたらどっかの惑星は惑星そのものが生命体かもしれんし惑星の中に惑星があるかもしれんしなぁ
246: ジオろぐ 2025/02/19(水) 02:08:48.87 ID:Itje3bgm0
重力って1番不思議や
なんで人間は地面にへばりついて暮らしてるんや
こんなに宇宙は広いのに
なんで人間は地面にへばりついて暮らしてるんや
こんなに宇宙は広いのに
248: ジオろぐ 2025/02/19(水) 02:09:42.67 ID:cui0US7L0
宇宙とマイクラは似ている
スティーブ以外に肉入りがいない
ほぼ無限にmapが生成されるが生活圏はせいぜい数枚分
スティーブが観測していない部分は描写をサボる
明らかにゲームだろこれって要素が幾つかある
スティーブ以外に肉入りがいない
ほぼ無限にmapが生成されるが生活圏はせいぜい数枚分
スティーブが観測していない部分は描写をサボる
明らかにゲームだろこれって要素が幾つかある
249: ジオろぐ 2025/02/19(水) 02:13:14.86 ID:pyoYkYrv0
無限に広がっとる世界やし探せばいるんだろうけどワイらが生きてる内は無理やろな接触は
250: ジオろぐ 2025/02/19(水) 02:13:50.38 ID:nqhLi0SE0
>>249
そう思われて何億年も経つんやが
そう思われて何億年も経つんやが
252: ジオろぐ 2025/02/19(水) 02:22:53.79 ID:qbOvWwAi0
255: ジオろぐ 2025/02/19(水) 02:27:34.89 ID:vX3u7mt20
289: ジオろぐ 2025/02/19(水) 03:52:45.48 ID:gDQ8+9Qh0
>>255
はえー綺麗
はえー綺麗
257: ジオろぐ 2025/02/19(水) 02:34:30.08 ID:toVYDe4d0
MIB1のラストみたいなのワクワクするよな
258: ジオろぐ 2025/02/19(水) 02:39:51.98 ID:RB1H+OTx0
今の宇宙観を信じるなら確実にしかも大量にいる
けどお互いに交信とかは何か革命的な発明でもされん限り不可能やな
なんせ最速の光ですら1番近い恒星まで片道4年以上かかるんやから
けどお互いに交信とかは何か革命的な発明でもされん限り不可能やな
なんせ最速の光ですら1番近い恒星まで片道4年以上かかるんやから
260: ジオろぐ 2025/02/19(水) 02:44:21.29 ID:o0V1fIS10
いるやろね
宇宙を認識出来るレベルやと人間の構造とあんま変わらんやろうけど
宇宙を認識出来るレベルやと人間の構造とあんま変わらんやろうけど
261: ジオろぐ 2025/02/19(水) 02:45:31.20 ID:i8f7N+nP0
逆に人間しかいないと思う方がおかしいやろ
地球を中心に宇宙が回ってるくらいの暴論やで
地球を中心に宇宙が回ってるくらいの暴論やで
262: ジオろぐ 2025/02/19(水) 02:53:33.83 ID:WibtQoHc0
次元が違うから見えないが正解
人間はもっと高次元にいかないと
未だに人間同士で争ってる
人間はもっと高次元にいかないと
未だに人間同士で争ってる
264: ジオろぐ 2025/02/19(水) 02:55:53.78 ID:4fHOjsrVd
平行世界って存在するんやろか
267: ジオろぐ 2025/02/19(水) 03:00:50.14 ID:an0QTeKRM
結局結論はわからないになるからわかってる現実を必死に頑張りましょうって結論になるのがこの世界の想像者のメッセージみたいでクソすぎるよなめっちゃ面白いゲームやってる最中に開発者が現実見ろとか言ってくるバカみたいなゲームみたいで冷めるわ
269: ジオろぐ 2025/02/19(水) 03:05:47.11 ID:3Cx538k+0
たまたま地球に生命体がいて、それを奇跡とか言ってるけど
宇宙のどこかで生命体が同じ話ししてるんだよな
宇宙のどこかで生命体が同じ話ししてるんだよな
273: ジオろぐ 2025/02/19(水) 03:10:40.90 ID:cui0US7L0
宇宙があってたまたま人間が発生したのではなく
人間を発生させるために宇宙が造られた感があるのよな
宇宙が人間に厳しい環境なのも
光速を超える移動手段が存在しないのも
ちきうという監獄に閉じ込めておくためとすると腑に落ちる
人間を発生させるために宇宙が造られた感があるのよな
宇宙が人間に厳しい環境なのも
光速を超える移動手段が存在しないのも
ちきうという監獄に閉じ込めておくためとすると腑に落ちる
284: ジオろぐ 2025/02/19(水) 03:41:36.93 ID:auAK2fdI0
月に行くのもやっとな地球人なんて、宇宙を自由に航行できる文明を持った宇宙人からすれば保護すべき原始人みたいなもんやから無闇に接触しに来ないのかもしれん
285: ジオろぐ 2025/02/19(水) 03:46:01.39 ID:Rjv2XsPj0
まだ宇宙できてから時間あんまり経ってないからなあ
人間が現時点で最高の知的生命体である可能性は大いにある
人間が現時点で最高の知的生命体である可能性は大いにある
287: ジオろぐ 2025/02/19(水) 03:50:44.64 ID:q+4CCiXD0
星間移動の究極は情報生命体に進化することやから仮に宇宙人が地球にくるとしたら電波として送られてくるんやで
288: ジオろぐ 2025/02/19(水) 03:51:45.30 ID:GIrotz1S0
>>287
電波でも光の速さは超えられんから厳しいんちゃう?
電波でも光の速さは超えられんから厳しいんちゃう?
290: ジオろぐ 2025/02/19(水) 03:53:22.89 ID:q+4CCiXD0
>>288
劣化しないし時間は関係なくない?
劣化しないし時間は関係なくない?
295: ジオろぐ 2025/02/19(水) 04:08:56.38 ID:KHz1si9p0
無限の中に無限に存在するんだよ
お前が思い浮かべたクソみたいな妄想もこの宇宙が無限に存在するならどこかに必ず存在してんだよ
全てスーパーコンピュータが作ったシミュレータだからな
お前が思い浮かべたクソみたいな妄想もこの宇宙が無限に存在するならどこかに必ず存在してんだよ
全てスーパーコンピュータが作ったシミュレータだからな
296: ジオろぐ 2025/02/19(水) 04:11:11.18 ID:u9nzEDZE0
楽園追放がそういう話やったけど
もうAIを人類代表ってことにして宇宙探索しようや
もうAIを人類代表ってことにして宇宙探索しようや
297: ジオろぐ 2025/02/19(水) 04:14:20.43 ID:Z7Pl7HE10
地球人こそ宇宙で最初期の高度知的生命定期
この130億年間は星が爆発しまくって元素を圧縮してバラまいてたんや
生命の花が咲くのはこれからや
この130億年間は星が爆発しまくって元素を圧縮してバラまいてたんや
生命の花が咲くのはこれからや
299: ジオろぐ 2025/02/19(水) 04:37:25.71 ID:OcMcm0Dv0
いくらでもいるだろ
でも人間レベルだから自分のいる太陽系から出る事出来ないからお互いを認識できない
でも人間レベルだから自分のいる太陽系から出る事出来ないからお互いを認識できない
301: ジオろぐ 2025/02/19(水) 04:39:50.95 ID:vlICrRcA0
単純な生命ならまあおるやろ
人類みたいな高度なのは相当希有や
人類みたいな高度なのは相当希有や
302: ジオろぐ 2025/02/19(水) 04:40:04.92 ID:GIrotz1S0
地球におるんやから他にもおるやろと地球でしか確認できてないから確率低いやろに2分されとるな
305: ジオろぐ 2025/02/19(水) 04:43:49.48 ID:OcMcm0Dv0
そもそも宇宙の外認識できて100年も経ってない程度のヘボい科学力しかないのに
1億年単位で生命滅んでるとして、そのうちの数千年だけしかコンタクト取れる期間内とか
時期が合わんのもあるよな
1億年単位で生命滅んでるとして、そのうちの数千年だけしかコンタクト取れる期間内とか
時期が合わんのもあるよな
307: ジオろぐ 2025/02/19(水) 04:45:38.86 ID:GIrotz1S0
>>305
少なくとも何千年も前から認識してたやろ
少なくとも何千年も前から認識してたやろ
308: ジオろぐ 2025/02/19(水) 04:46:34.14 ID:OcMcm0Dv0
>>307
外に出れたんがそれくらいってことや
外に出れたんがそれくらいってことや
313: ジオろぐ 2025/02/19(水) 04:54:55.87 ID:8LvLZLhR0
>>305
火星とかは結構それっぽい痕跡見つかってるみたいね
知的生命体かはわからないけど川や生き物
火星とかは結構それっぽい痕跡見つかってるみたいね
知的生命体かはわからないけど川や生き物
315: ジオろぐ 2025/02/19(水) 05:06:01.53 ID:/u+xL5x70
居るだろうけど互いに認知するのは無理だろう
そもそも光の速さに対して宇宙が広過ぎる
何かのバグを疑いたくなるレベル
そもそも光の速さに対して宇宙が広過ぎる
何かのバグを疑いたくなるレベル
318: ジオろぐ 2025/02/19(水) 05:10:25.39 ID:VrhYxLam0
違う銀河には地球人以上の生命体いるんやろうけど
そういう生命体はわざわざ違う星の自分たちより劣っている生命体に接触するよりも
パラレルワールドとか時間とかの次元の壁を超える方向に自分たちの発展した技術を利用するんちゃうかね
そういう生命体はわざわざ違う星の自分たちより劣っている生命体に接触するよりも
パラレルワールドとか時間とかの次元の壁を超える方向に自分たちの発展した技術を利用するんちゃうかね
321: ジオろぐ 2025/02/19(水) 05:13:55.81 ID:2JAGmX6k0
宇宙広すぎんか?
光の速度で何万年って脳バグるよな
天の川銀河すら脱出できんし
光の速度で何万年って脳バグるよな
天の川銀河すら脱出できんし
324: ジオろぐ 2025/02/19(水) 05:17:24.67 ID:8LvLZLhR0
エウロパとか生きてるうちに中身見てみたいわ
325: ジオろぐ 2025/02/19(水) 05:17:54.52 ID:8BlmdezW0
微生物レベルなら惑星の衛星も候補になるから居る
ただ活動的な生物は居ない可能性もある
既に数千の惑星の大気を調べてるけど生物由来のメタンの発見がない
ただ活動的な生物は居ない可能性もある
既に数千の惑星の大気を調べてるけど生物由来のメタンの発見がない
328: ジオろぐ 2025/02/19(水) 05:19:54.27 ID:GIrotz1S0
>>325
生命が居住可能な星ならいくらでも有るやろそりゃ
生命が発生する確率が低すぎると思うんだ地球ですら1回のみやぞ?
生命が居住可能な星ならいくらでも有るやろそりゃ
生命が発生する確率が低すぎると思うんだ地球ですら1回のみやぞ?
329: ジオろぐ 2025/02/19(水) 05:20:11.19 ID:Nfsn7jys0
金星とかに人送り込んで化石発掘現場みたいに掘れても、掘ったそばから風化してボロボロになるんかなぁ
とかしょーもない事考えるな
とかしょーもない事考えるな
332: ジオろぐ 2025/02/19(水) 05:22:05.46 ID:GIrotz1S0
>>329
金星は他の候補地よりもより生命誕生は厳しいらしいで
金星は他の候補地よりもより生命誕生は厳しいらしいで
333: ジオろぐ 2025/02/19(水) 05:22:24.20 ID:8LvLZLhR0
>>329
地球に似てるとされてる惑星は全部遠くにあって
周りはそういうとんでもない星ばっかりだな
地球に似てるとされてる惑星は全部遠くにあって
周りはそういうとんでもない星ばっかりだな
336: ジオろぐ 2025/02/19(水) 05:26:42.16 ID:Nfsn7jys0
>>333
意外に細菌レベルの奴らはそこら辺の星々の地中におるかもしれんな
意外に細菌レベルの奴らはそこら辺の星々の地中におるかもしれんな
335: ジオろぐ 2025/02/19(水) 05:26:14.61 ID:KHz1si9p0
>>329
金星って硫酸の雨降ってるらしいな
金星って硫酸の雨降ってるらしいな
341: ジオろぐ 2025/02/19(水) 05:43:15.58 ID:8LvLZLhR0
>>335
冗談みたいだけど本当なんだから宇宙すげえわ
冗談みたいだけど本当なんだから宇宙すげえわ
338: ジオろぐ 2025/02/19(水) 05:38:32.97 ID:8BlmdezW0
>>329
金星って大気がめっちゃ濃いいんや
地表は高温だけど大気の上層部は適温で浮くだけの密度がある
つまり金星には飛行生物だけの生態系がある
金星って大気がめっちゃ濃いいんや
地表は高温だけど大気の上層部は適温で浮くだけの密度がある
つまり金星には飛行生物だけの生態系がある
334: ジオろぐ 2025/02/19(水) 05:23:48.48 ID:Nfsn7jys0
ガス惑星や大質量ブラックホールのどこか丁度良い密度の場所には、クラゲや魚みたいな生物がおるかもしれん
337: ジオろぐ 2025/02/19(水) 05:38:28.31 ID:zfNGlKjV0
珪素生命体いてほしい
339: ジオろぐ 2025/02/19(水) 05:41:26.48 ID:bkHy57Ry0
天才物理学者エンリコフェルミ「ところで彼ら(宇宙人)はどこにいるんだろうか」
340: ジオろぐ 2025/02/19(水) 05:41:57.86 ID:M4BzLPnt0
「過去に存在した」「未来に存在する」なら多分あるけど、今現在という括りだとたぶん厳しい
高度な文明になるほど、おそらく短期間で滅亡するので
高度な文明になるほど、おそらく短期間で滅亡するので
344: ジオろぐ 2025/02/19(水) 05:54:55.84 ID:Ydndkp/Y0
インデペンデンスディ昔見たけどよく宇宙人に勝てたよな
346: ジオろぐ 2025/02/19(水) 05:57:05.44 ID:TwvE8SeI0
ガイア仮説定期
348: ジオろぐ 2025/02/19(水) 06:00:01.50 ID:GIrotz1S0
正直火星、エンケラドス、エウロパ、タイタンのどこも生命体の存在の可能性は薄いと思うよな?
311: ジオろぐ 2025/02/19(水) 04:52:04.17 ID:rs63R5Fm0
ワイらが存在する世界の大きさが絶対的なものであるという保証はどこにもなく、むしろそうではない可能性の方が高い
その辺の空間に人類が知覚不能な極小宇宙が実は存在していてその中に生命がおる場合や、
逆に我々がその小さな宇宙の立場で、超巨大な空間に漂っているのかもしれない
その辺の空間に人類が知覚不能な極小宇宙が実は存在していてその中に生命がおる場合や、
逆に我々がその小さな宇宙の立場で、超巨大な空間に漂っているのかもしれない

















































コメント
コメントする